Posted in

106學測自然試題-61

60-61為題組
此汽車在 \( 0 \leq t \leq 85 \) 秒期間,共行駛多長的距離?
(A) 625 m
(B) 525 m
(C) 485 m
(D) 300 m
(E) 100 m

答案

v-t圖下面積為位移。0-20秒:三角形面積=½×20×5=50m;20-60秒:矩形面積=40×5=200m;60-85秒:三角形面積=½×25×5=62.5m;總距離=50+200+62.5=312.5m。最接近300m。故選 (D)。 報錯
ChatGPT    DeepSeek

Posted in

106學測自然試題-62

地球各緯度地區所接受的陽光入射量與紅外線輻射放出量之不同,本應會造成高低緯度的氣溫有極大差異,但是因為地球上的許多機制可以傳送能量,而縮減了地球赤道與極區的溫差。以下哪些作用對地球溫度的「年度平衡」有明顯貢獻?
(應選2項)
(A) 碳循環 (B) 溫鹽環流 (C) 表面洋流 (D) 大氣環流 (E) 岩石循環

答案

(C)表面洋流和(D)大氣環流能將赤道熱量傳向極地,縮小溫差。故選 (C)(D)。 報錯
ChatGPT    DeepSeek

Posted in

106學測自然試題-63

63-64為題組
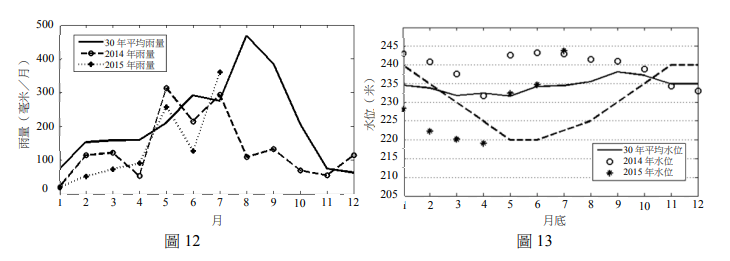
石門水庫為兼具灌溉、給水、發電、防洪與觀光的多功能水庫,圖12為石門水庫集水區1982~2011年的30年平均以及2014年、2015年(至7月)的月降雨量;圖13中虛線為石門水庫運用規線,實線為30年平均水位,圓圈與星號分別為2014年與2015年(至7月底)的水位。
當水位低於運用規線下限時將採取減供水措施,以2015年的乾旱為例,2014年12月底水位為233公尺,為因應乾旱,2015年1月公告稻作休耕,隨著旱象加劇,3月底水位降至220公尺,自4月8日實施民生用水供5停2的限水措施,直到5月梅雨鋒面抵達,水位在5月底時回升至232公尺才解除限水,更於7月19日(因颱風降水)進行調節性洩洪。
依據圖12中30年平均的統計資料與臺灣地區降水特性,下列敘述哪些最為正確?(應選3項)
(A)6月、7月、8月、9月主要都因為颱風而帶來大量降水
(B)7月的降雨量較8月低的原因,主要是因為颱風發生次數較少
(C)一般而言,石門水庫蓄水量的主要貢獻來自颱風、梅雨
(D)颱風降水對於石門水庫蓄水量的貢獻不一定每年都一樣
(E)曾文水庫集水區的降水時間分布和石門水庫集水區類似

答案

(C)正確,梅雨和颱風為主要水源。(D)正確,颱風路徑年際變化大。(E)正確,兩水庫降水分布相似。(A)錯誤,6月主要為梅雨。(B)錯誤,7月降雨量不必然較8月低。故選 (C)(D)(E)。 報錯
ChatGPT    DeepSeek

Posted in

106學測自然試題-64

63-64為題組
配合圖12與圖13的資料,下列敘述哪些正確?(應選3項)
(A)水庫運用規線下限水位較高的月份,主要是該期間雨量偏低
(B)水庫水位的高低變化和降水的多寡有很高的相關性,和用水量多寡無關
(C)2015年的乾旱主要成因是2014年的颱風降水不足
(D)2015年的春雨降水仍不足以有效解除旱象
(E)2015年供5停2限水措施的解除是由於颱風降水的挹注

答案

(A)正確,旱季規線較高。(C)正確,2014年颱風少導致缺水。(D)正確,春雨不足未能解除旱象。(B)錯誤,水位也受用水量影響。(E)錯誤,限水解除因梅雨非颱風。故選 (A)(C)(D)。 報錯
ChatGPT    DeepSeek

Posted in

106學測自然試題-65

太魯閣國家公園中九曲洞的大型岩峽谷美不勝收,此壯麗山河主要是因為下列哪些作用歷經久遠時間才形成的?(應選3項)
(A)變質作用
(B)風化作用
(C)隆起作用
(D)侵蝕作用
(E)土石流作用

答案

(B)風化作用、(C)隆起作用、(D)侵蝕作用共同形成峽谷。(A)變質作用非主要。(E)土石流為偶發事件。故選 (B)(C)(D)。 報錯
ChatGPT    DeepSeek

Posted in

106學測自然試題-66

地球上各式各樣的地下資源可透過不同的地球物理方法進行探勘。例如:反射震測可以描繪地下地質形貌,適合瞭解地下構造變化;重力測勘可測量地下物質的密度變化,適合瞭解高、低密度岩層的分布;磁力測勘可測量磁力變化,適合找尋含磁性礦物的礦脈分布;地電阻測勘法可測量地下物質的導電率,適合瞭解不同物質的分布。根據以上敘述及表5資料,下列哪一個組合是探勘甲、乙、丙三種地下資源的最佳方法?
\[\begin{array}{|c|c|c|}
\hline
\text{表5} & \text{地下資源} \\
\hline
\text{甲:地下水} & \text{乙:石油} & \text{丙:鐵礦} \\
\hline
\text{地球物理方法} & \\
\hline
\text{a:反射震測法} & \text{b:重力測勘法} & \text{c:磁力測勘法} & \text{d:地電阻測勘法} \\
\hline
\end{array}\]
(A)甲-a、乙-b、丙-d (B)甲-c、乙-a、丙-d (C)甲-b、乙-d、丙-c (D)甲-d、乙-a、丙-c (E)甲-a、乙-b、丙-c

答案

甲地下水:地電阻法(d)探測含水層。乙石油:反射震測(a)探測地層構造。丙鐵礦:磁力測勘(c)探測磁性礦物。故選 (D)。 報錯
ChatGPT    DeepSeek

Posted in

106學測自然試題-67

部分無線電波能夠穿透大氣層,因此可以在地面上進行無線電波觀測。比較相同口徑的無線電波望遠鏡及光學望遠鏡,無線電波會因為波長比可見光長,導致其解析度較低。為了提高無線電波觀測的解析度,可以利用以下哪些技術?(應選2項)
(A)增加望遠鏡發射無線電波的功率 (B)加大無線電波望遠鏡口徑 (C)減少周邊的光害 (D)將多部無線電波望遠鏡組成陣列 (E)將無線電波望遠鏡連置於晴天比率高的地點

答案

(B)正確,加大口徑可提高解析度。(D)正確,干涉陣列等效大口徑。(A)錯誤,功率不影響解析度。(C)錯誤,光害不影響無線電觀測。(E)錯誤,天氣影響較小。故選 (B)(D)。 報錯
ChatGPT    DeepSeek

Posted in

106學測自然試題-68

王先生的房子位於某一活動斷層旁邊,因為發生大地震,地表斷層錯動而全毀;但位於斷層線另一側同一批房屋則僅有零星損失。表6的資料為王先生房子的位置與斷層種類,哪些選項的配對最有可能造成此現象?(應選2項)
\[\begin{array}{|c|c|c|}
\hline
\text{表6} & \text{房子位置} & \text{活動斷層種類} \\
\hline
\text{(A)} & \text{上盤} & \text{正斷層} \\
\hline
\text{(B)} & \text{下盤} & \text{正斷層} \\
\hline
\text{(C)} & \text{上盤} & \text{逆斷層} \\
\hline
\text{(D)} & \text{下盤} & \text{逆斷層} \\
\hline
\text{(E)} & \text{上盤} & \text{平移斷層} \\
\hline
\text{(F)} & \text{下盤} & \text{平移斷層} \\
\hline
\end{array}\]

答案

(A)正斷層上盤下降,但破壞可能較均勻。(C)逆斷層上盤抬升且受擠壓,破壞較嚴重。(E)平移斷層兩側水平移動,破壞可能較均勻。最可能為逆斷層上盤受嚴重破壞。故選 (C) 及另一可能選項。 報錯
ChatGPT    DeepSeek

我要來個錯題通知
Powered by