[題組:第20題至第21題]
「鈣迴路」捕獲二氧化碳(CO\(_2\))是一種燃燒後處理技術。其原理是利用石灰(CaO)在高溫(>600℃)下吸收二氧化碳並形成灰石(CaCO\(_3\)),灰石在高溫煅燒中可再生成石灰及高純度的二氧化碳。捕獲二氧化碳的石灰常經由煅燒灰石製備,石灰也可經由煅燒草酸鈣石(CaC\(_2\)O\(_4\)·H\(_2\)O)而得;經由後者方法製備而得的石灰更加疏鬆多孔,表面積大,捕獲二氧化碳效率更高。某生以熱重量分析儀研究3.65毫克草酸鈣石受熱過程中固體質量隨溫度變化的情況,如圖6所示。橫坐標為溫度變化,其縱座標為殘留固體在當時溫度下的質量與起始固體質量的比值。
煅燒草酸鈣石產生的石灰較煅燒灰石產生的石灰疏鬆多孔,李同學推論其原因為:煅燒等莫耳數的草酸鈣石與灰石,草酸鈣石所產生較多氣體所致,以相關化學反應式說明李同學的推論。(2 分)
113分科化學
113分科化學考科-22
[題組:第22題至第24題]
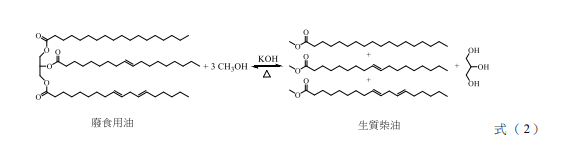
生質柴油是具有發展性可替代石油的永續能源之一,可直接或混合石化柴油作為燃料。生質柴油是脂肪酸單烷基酯,可利用廢食用油脂,經由酯交換反應得到,如式(1)所示。酯交換反應可經由鹼或酵素催化進行,其中鹼催化反應的反應速率快,且催化劑用量較少,成本低廉,常用於製備生質柴油。
小華依據化學反應式(2),在實驗室中製備生質柴油;取0.12克氫氧化鉀溶於3毫升甲醇(約為0.074莫耳)後放入試管中,再加入12毫升的廢食用油(約為0.012莫耳),充分混合並加熱使反應完全。
石化柴油的主要成分為含15到20個碳原子的鏈狀烷類、環狀烷類或芳香烴類。下列關於上述生質柴油的敘述,哪些正確?(多選)
(A)生質柴油屬於鏈狀烷類
(B)式(2)中,甲醇為催化劑
(C)生質柴油是具有酸性的有機化合物
(D)每莫耳生質柴油的氧原子含量高於石化柴油
(E)具有不飽和碳-碳雙鍵的生質柴油,可進行氫化反應
113分科化學考科-23
[題組:第22題至第24題]
生質柴油是具有發展性可替代石油的永續能源之一,可直接或混合石化柴油作為燃料。生質柴油是脂肪酸單烷基酯,可利用廢食用油脂,經由酯交換反應得到,如式(1)所示。酯交換反應可經由鹼或酵素催化進行,其中鹼催化反應的反應速率快,且催化劑用量較少,成本低廉,常用於製備生質柴油。
小華依據化學反應式(2),在實驗室中製備生質柴油;取0.12克氫氧化鉀溶於3毫升甲醇(約為0.074莫耳)後放入試管中,再加入12毫升的廢食用油(約為0.012莫耳),充分混合並加熱使反應完全。
小華發現上述反應前後的試管中有不互溶的液體(圖7),已知相關反應物與產物的密度與分子量列於表2。
下列敘述哪些正確?(多選)
(A)反應前上層為廢食用油
(B)反應前上層溶液可使紅色石蕊試紙變色
(C)反應後最下層溶液可使藍色石蕊試紙變色
(D)反應後無甲醇剩餘
(E)反應後產生的甘油約1.10克
113分科化學考科-24
[題組:第22題至第24題]
生質柴油是具有發展性可替代石油的永續能源之一,可直接或混合石化柴油作為燃料。生質柴油是脂肪酸單烷基酯,可利用廢食用油脂,經由酯交換反應得到,如式(1)所示。酯交換反應可經由鹼或酵素催化進行,其中鹼催化反應的反應速率快,且催化劑用量較少,成本低廉,常用於製備生質柴油。
小華依據化學反應式(2),在實驗室中製備生質柴油;取0.12克氫氧化鉀溶於3毫升甲醇(約為0.074莫耳)後放入試管中,再加入12毫升的廢食用油(約為0.012莫耳),充分混合並加熱使反應完全。
反應後試管內的液體,可用下列甲、乙兩實驗器材來分離,回答下列問題:
(1) 寫出甲、乙兩器材的名稱。(2 分)
(2) 若將反應後的溶液,置於器材(乙)中,則器材(乙)中的最上層與最下層的物質分別為何?(2 分)
113分科化學考科-25
固體甲(莫耳質量252 g/mol)為含金屬X 的橙色離子化合物,1 莫耳甲完全溶解於水時,溶液呈現橙色,且產生2 莫耳陽離子及1 莫耳陰離子。將過量氫氧化鈉溶液,加入上述的水溶液中,溶液變為黃色,同時產生刺鼻氣味。
1 莫耳固體甲,受熱完全分解後,產生1 莫耳產物乙(莫耳質量152 g/mol)、1 莫耳氣體產物丙(莫耳質量28 g/mol)及氣體產物丁(莫耳質量 18 g/mol)。剛反應完成瞬間,產物丁的體積為產物丙的4 倍。其中,產物乙為化學式X2O3 的綠色固體;產物丙為無色雙原子氣體,為空氣中含量最多的氣體,且可與鎂帶進行反應;產物丁生成時為氣態,但在常溫常壓下為無色液體、可使白色硫酸銅固體變為藍色。
根據上述,寫出固體甲、產物乙、產物丙及產物丁的化學式。(4 分)
113分科化學考科-26
113分科化學考科-27
[題組:第26題至第27題]
他氣前列素(C₂S₄H₃F₂O₅)為一種可以用來控制青光眼緩解高眼壓的藥物。式(3)為合成他氣前列腺素的一個重要步驟,在強酸NaH作用下,化合物甲與化合物乙反應可生成化合物丙。將多命試劑加入含有化合物乙的試管中,可於試管壁形成金屬光澤的薄膜。
根據上述,回答下列問題:
化合物乙在酸性條件下,完全水解後,可得到產物丁與戊。其中,產物丁具有共振結構,且產物丁的鈉鹽可作為防腐劑。畫出產物丁的化學結構。(2分)




